評價臭氧氧化對林可霉素的效價削減效果研究
中國是世界上大的抗生素生產國,是青霉素、四環素和林可霉素等發酵類抗生素的主要生產基地[1]。在抗生素發酵生產過程中產生的廢母液通常含有高濃度抗生素[2-4],目前這些廢母液主要是經生活污水稀釋后,采用活性污泥法等常規生物工藝進行處理。抗生素作為一種抑菌或殺菌物質,可影響污水生物處理系統的功能[5],并可能導致耐藥菌及耐藥基因的產生和排放[6]。為了有效處理上述含抗生素廢水,需要在生物處理之前去除廢母液中抗生素殘留效價。強化水解技術已經被證明具有削減鏈霉素、螺旋霉素和土霉素等抗生素效價的有效性[7-9]。前期研究[10] 已表明林可霉素結構穩定,難以通過溫度或 pH 調節加速其水解過程,強化水解技術無法經濟、有效地應用于其實際生產廢水的處理。為了保障林可霉素發酵廢水的安全、高效處理,須開發相應有效的預處理技術。
大量研究表明,臭氧對水體中的硝基苯、酚類、氯化苯、多環芳香烴等有很好的去除效果[11],并且已成功應用于印染和石化等工業廢水的處理[12-18]。LIU 等[19] 考察了臭氧預處理土霉素實際廢水的效果,發現土霉素廢母液抗生素降解 50% 時消耗的臭氧量為 0.63 mg·mg−1 土霉素,處理后污水不再誘導后續生物處理單元耐藥性發展。上述研究表明,臭氧氧化可以作為一種制藥廢水的預處理技術,然而,目前有關臭氧氧化處理林可霉素發酵廢水的研究較少。
本研究以林可霉素發酵廢水的高效預處理為目標,利用配水實驗評價了臭氧氧化削減林可霉素效價的有效性,考察了共存基質和反應 pH 對林可霉素去除的影響,將臭氧預處理與厭氧生物處理技術耦合,處理實際林可霉素發酵廢水,討論了臭氧預處理對廢水生化處理的促進效果,以期為林可霉素廢水的處理提供參考。
1 材料與方法
1.1 實驗材料
鹽酸林可霉素 (98.0%) 購自上海 TCI 試劑公司。乙腈 (99.8%,加拿大 CALEDON 試劑公司)、甲醇 (99.9%,德國 CNW 試劑公司) 和甲酸 (99.9%,德國 CNW 試劑公司) 均為色譜純,超純水電導率為 18.2 Ω·cm−1。LB 培養基由酵母提取物 5 g、蛋白胨 10 g、瓊脂 20 g 和 1 000 mL 超純水配制而成。
1.2 實驗方法
實驗裝置見圖 1。臭氧由臭氧發生器產生,臭氧氧化實驗在一個直徑 40 mm、高度為 600 mm、容量為700 mL 的玻璃柱內進行,實驗時將 100 mg·L−1的 500 mL 抗生素溶液一次性轉入反應器中,臭氧是由玻璃柱底部的砂板進入反應體系,所有實驗在恒溫 (25 ℃) 條件下進行。臭氧的濃度由臭氧監測器進行監控,并用碘量法對臭氧濃度進行校正,反應后的殘余臭氧由 5% 的 KI 溶液吸收。臭氧濃度穩定后開始計時,在不同反應時間從取樣口取 4 mL 樣品進行指標測試。

臭氧氧化反應裝置示意圖
1.3 測試及計算方法
林可霉素濃度測定采用超高效液相色譜-串聯質譜法 (UPLC-MS/MS) 方法,色譜柱為 ACQUITYUPLC BEH Shield RP18(1.7 μm × 2.1 mm × 100 mm,沃特世,美國);柱溫為 35 ℃;流速為 0.3 mL·min−1;進樣量 5 μL;流動相 A 為乙腈,流動相 B 為 0.1% 甲酸水。梯度洗脫程序參考文獻中的方法[20]。電離方式為電噴霧電離 (ESI,正離子模式),掃描方式為多反應監測 (MRM),毛細管電壓為 1.0 kV,離子源溫度為 150 ℃,脫溶劑溫度為 500 ℃,碰撞氣流量為 50 L·h−1,脫溶劑氣流量為 600 L·h−1。林可霉素母離子的 m/z 為 406.9,子離子的 m/z 為 125.9(定量離子) 和 359(定性離子),錐孔電壓為 30 V,碰撞電壓為 25 V 和 22 V。
抗生素效價是指某一物質或水樣產生抑菌效果的功效單位。本實驗采用實驗室前期建立的方法[21] 測定水樣的抗生素效價,步驟如下:采用金黃色葡萄球菌 (Staphylococcus aureus) 作為標準菌株,分別采用廢水中相應的抗生素和參照標準抗生素作標準曲線,測得相應的抗生素效價當量。
1 mL 的抗生素標準溶液或者待測樣品與 9 mL 菌液混合,分別為標準曲線組和待測樣品組,同時設置了 1 mL 磷酸鹽緩沖液 (PBS) 和 9 mL 菌液混合作為陽性對照,1 mL PBS 和 9 mL 不加菌液的抗生素Ⅲ號培養基混合作為空白對照。在 WBS-100 微生物濁度法測定儀中 37 ℃ 條件下培養 4 h,間歇振蕩,從 45 min 后每 10 min 測定 580 nm 下的光密度,光密度強弱反映細菌的生長情況。實驗結束后,得到 20 組監測數據,根據標準曲線的線性相關系數選擇標準曲線相關性高的一組數據,并根據此標準曲線計算樣品的效價當量。所有樣品的效價測定均為 3 個平行,計算平均值。
使用便攜式 pH 計 (WTW-pH-Meter Multiline P4,德國) 測定 pH。使用 Phoenix 8000 總有機碳分析儀 (Teledyne Tekmar,美國) 測定溶解性有機碳 (DOC)。化學需氧量 (COD) 采用快速消解分光光度法[22] 測定。
1.4 抗生素臭氧氧化動力學
臭氧氧化反應包括直接反應和間接反應,反應過程復雜。本研究中臭氧連續通入,可認為在整個反應過程中臭氧是持續過量的,因此,反應過程可按照一級反應動力學[23-24] 模擬。
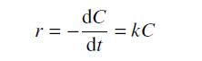
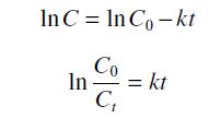
一級反應動力學速率方程如式 (1) 所示。
式中:r 為反應動力學速率;C 為抗生素濃度,mg·L−1;t 為反應時間,min;k 為反應速率常數,min−1;基于初始變量 t=0,C=C0,分離變量、積分,則得一級反應動力學方程 (如式 (2) 和式 (3) 所示)。
式中:C0 為抗生素初始濃度,mg·L−1;Ct 為抗生素在 t 時刻的濃度,mg·L−1;k 為一級反應動力學常數,min−1。
1.5 厭氧可生化性評價方法
厭氧可生化性實驗在 Bioprocess Control(瑞典) 的甲烷自動測試系統 (AMPTS-Ⅱ) 中進行。實驗所用厭氧污泥取自北京市高碑店城市污水處理廠剩余污泥處理單元的中溫厭氧消化池。實驗在一個 500 mL 的樣品瓶中進行,每個樣品瓶盛入 200 mL消化污泥 (VSS=2 000 mg·L−1),分別加入 200mL 空白 (不加抗生素的溶液)、未處理過的林可霉素廢水 (林可霉素濃度為 1 000 mg·L−1)、臭氧處理后的林可霉素廢水 (林可霉素濃度為 4 mg·L−1),其中對照組中的化學需氧量 (COD) 與實際廢水的 COD(7 800 mg·L−1) 相同,由醋酸鈉溶液配制,所有實驗組均設置 2 個平行。實驗前溶液初始 pH 用鹽酸和氫氧化鈉溶液調至 7.00±0.05,氮吹 3 min,將處理好的樣品瓶置于恒溫 ((35 ± 1) ℃) 水浴鍋中。
谷永1,2,田哲1,3,唐妹1,3,苑宏英2,楊敏1,3,張昱1,3,*
1. 中國科學院生態環境研究中心,環境水質學國家重點實驗室,北京 100085
2. 天津城建大學環境與市政工程學院,天津 300384
3. 中國科學院大學,北京 100049